Zahldarstellung im Computer: Zusätzliches

Übersicht

 

Dualzahlen mit Komma:

22 21 20 2-1 2-2 2-3
DezimalZahlen 4 2 1 0.5 0.25 0.125
Dualzahlen 100 010 001 0.1 0.01 0.001
Beispiel: (11,11)2
= (1*2+1*1+1*1/2+1*1/4)10
= (3*3/4)10
= (3.75)10
 

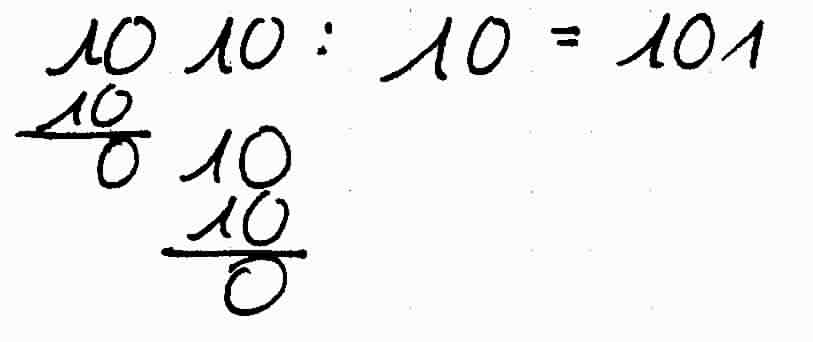
Division

Rechnung im Dualsystem Übersetzung ins Zehnersystem Erläuterung
Wie das schriftliche Rechnen im Zehnersystem

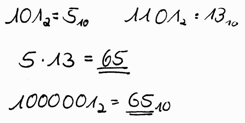
Multiplikation

Rechnung im Dualsystem Übersetzung ins Zehnersystem Erläuterung
Wie das schriftliche Rechnen im Zehnersystem