Wie rechnet man mit Dualzahlen?

Addition

Grundregeln für Dualzahlen:   0 + 0 = 0 ;  0 + 1 = 1 ;   1 + 0 = 1 ;  1 + 1 = 10 (so schreibt man "zwei"!)
außerdem : 1 + 1 + 1 = 11 (so schreibt man "drei")

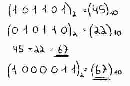
Rechnung im Dualsystem Übersetzung ins Zehnersystem Erläuterung

Man rechnet, wie im Zehnersystem von rechts nach links;
Addiert man 1 und 0 ergibt das immer 1;
Addiert man 1 und 1 ergibt das immer 0, Übertrag 1; Die gemerkte 1 muss bei der nächsten Stelle mitverrechnet werden

 

Subtraktion

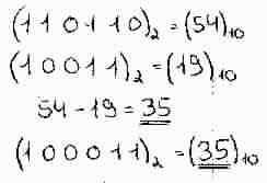
Rechnung im Dualsystem Übersetzung ins Zehnersystem Erläuterung

Hier ist durch die kleine Zahl gekennzeichnet, in welchem Zahlensystem die Zahl dargestellt ist. Links vom Gleichheitszeichen ist die Dualzahl (Zweiersystem), recht ist die Dezimalzahl (Zehnersystem) notiert. Wenn keine Verwechslungsgefahr besteht schreibt man die Dezimalzahlen "normal".

Letzte Ziffer: Von 1 bis 0 fehlen 1 und man muss sich von der nächsten Stelle 1 borgen. Dies schreibt man klein über den Strich.

Vorletzte Ziffern: 1+1=(2)10=(10)2. Bis 1 fehlt 1, aber man muss sich wieder von der nächsten Stelle 1 borgen usw.

 

 

Natürlich kann man auch Multiplizieren und Dividieren. Es ist gar nicht sooooo schwer!

Hier noch ein paar Übungsaufgaben (alle Zahlen im Dualsystem):

Grundaufgaben

für Neugierige
1)11010+101
2)10110+1101
3)101010+10101
4)0111+1011+1101+0001
10)10101-1101
11)11010-10101
12)101101-1100
5)1101*101
6)1011*11
7)1100/11
8)110001/111
9)101/10
Lösungen